The terminology used by scientists of one generation can be very revealing of the misconceptions of the previous ones, and in the worst-case scenarios this can lead to these misconceptions being propagated. To put it another way, sometimes generic names for chemicals can be confusing to the student of chemistry, and only really make sense when the historical context is explained. Acetone is an excellent example of this.
In systematic nomenclature, compounds containing two carbons share the eth- prefix, examples being ethanoic acid, ethyne and ethanal. It’s very easy to think of this prefix as being interchangeable with the acet- used in common names. For acetic acid, acetylene and acetaldehyde this works perfectly, but things go somewhat awry when we get to the three-carbon containing ketone, acetone. Over time it’s something we accept and don’t think about, but I clearly remember finding it very odd when it was first explained to me. So why the inconsistency?

Acetone was being prepared long before the means to adequately identify general formulae, let alone arrangements of atoms, were known. What we now call acetone was known to the alchemists and may have been isolated as far back as the Middle Ages. The principle method of formation was dry distillation of lead acetate, and it was therefore referred to as spirit of Saturn for hundreds of years (the handful of metals that the alchemists knew about were often described with analogy to the planets). One of the earliest, incredibly detailed descriptions of how to carry out this distillation process dates all the way back to 1610.
Over the years, chemists came to understand that this liquid was more related to the acetate part of the salt than to the metal. The fact that acetates of other metals, such as calcium, also worked was a pretty good clue. The name pyro-acetic ester was proposed in 1808, emphasising the use of heat in the preparation. This was soon changed to pyro-acetic spirit when it was acknowledged that calling it an ester was claiming a bit more understanding than they actually had!
The name we use today was first proposed by the French chemist Antoine Bussy in 1833. He had been investigating fatty acids, and margaric acid in particular (which probably wasn’t actually what we now call margaric acid, but was more likely a mixture of stearic and palmitic acids…see my previous post for more details). Upon distilling calcium margarate he obtained a yellowish solid. Initially he wanted to call this substance pyro-margaric spirit due to the analogy of composition with pyro-acetic spirit. But when he presented his findings to l’Academie des Sciences, Michel Chevreul, the chemist who had discovered margaric acid, disapproved of the name. This story is told in a footnote of Bussy’s paper from 1833, and unless I’m missing something with my combination of GCSE French and Google Translate, the exact nature of this disapproval isn’t explained. However, due to either respect or inferiority, Bussy had another crack at the name. He settled on ‘margarone’, which he describes as being a feminine noun form of ‘margerique’. This isn’t explained further, but I suspect that it is either taken directly from the original Latin root, ‘margaron’, with the femininisation being the addition of the ‘e’ as in many French words, or it is a use of the Greek suffix ‘-one’, meaning ‘daughter of’ which would also make a lot of sense here. He immediately notes how this form of nomenclature easily lends itself to other substances formed by the distillation of metal acid salts, and coins the words ‘oléone’, ‘stéarone’ and, most importantly, ‘acétone’.
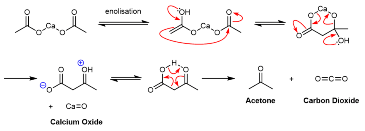
In summary, acetone is named thus due to its original method of preparation (for those who are interested I’ve drawn out the proposed mechanism below for how we get from a two-carbon starting material to a three-carbon product, using calcium acetate as an example). Despite seeming to refer to the wrong number of carbons, the name has survived. Thankfully, margarone, oleone and stearone have all fallen out of use; while slightly annoying, at least the compound which acetone could be mixed up with doesn’t actually exist; you can’t have a ketone with two carbons. Clearly the use of the systematic name would wipe away any confusion that remains, but in this case the term was far too ingrained in the language of chemistry for it to be lost.
We can trace this promiscuous prefix back from acetone, through acetic acid, and to the Latin word for vinegar: ‘acetum’. Interestingly, we also get the word ‘acid’ from this root, making acetic acid a bit tautologous (vinegary vinegar?). Moreover, when the structure of acetone was later understood, the German spelling ‘aketon’ was used, with the ‘a’ knocked off, to give the class of compounds its name, in honour of the simplest of ‘ketones’. Etymologically speaking, vinegar has a lot to answer for.

References
1. Bailey, D., & Bailey, Kenneth C. (1929). An etymological dictionary of chemistry and mineralogy. London: Arnold & co.
2. Gorman, M. (1962), The History of Acetone 1600-1850, Chymia, 8, 97-104
3. Bussy, A. (1833), De quelques produits nouveaux obtenus par l’action des alcalis sur les corps gras à une haute température” (On some new products obtained by the action of alkalies on fatty substances at a high temperature), Annales de Chimie et de Physique, 2nd series, 53, 398–412; (see footnote on pp. 408–409)