The tale of tryptophan is a colourful one, quite literally.

One of oldest texts we know of that is pertinent to this story dates back to 1825.1 It describes how the addition of dilute chlorine water to a preparation of pancreatic juices turned the liquid rose-red. If left to sit, violet flakes would appear after 12 hours, and if too much chlorine was added, the colour would disappear. Observations of this sort continued for much of the 19th century, with both chlorine and bromine water. It became apparent that for this reaction to occur proteins needed to have gone through some degree of decomposition, which could be mediated by enzymes, chemical reagents, or simply by waiting for putrefaction to set in.1
In 1890 a German scientist called Neumeister was investigating this colour reaction in the products of a tryptic digestion of a sample of pancreas.2 In an attempt to discover its origin he notes that two of the known amino acids, tyrosine and leucine, fail to produce the reaction, and thus surmises that another substance must be present. At the beginning of an extensive footnote that spans three pages (with the second page only having room for four lines of the main body of the text) he states:
“The chromogen in question can be detected in all processes that cause the deep decomposition of the albuminous bodies, and may therefore be called “tryptophan”. In addition to the digestion of the pancreas, its appearance is observed even in the case of persistent decay, when the albuminous bodies are heated with baryta liquor, and when they are boiled with 5% sulfuric acid”
The name stuck, and in English texts this elusive compound became known as “tryptophane”, following the tradition of adding an ‘e’ onto the end of such compounds originally named in German (lysin became lysine, arginin became arginine etc.). At some point between the 1930s and now this ‘e’ was dropped (Figure 1).3 The colour reaction itself also became known as the ‘tryptophane reaction’ .

Figure 1. Google Book Ngrams Viewer trace of the use of the terms “tryptophane” and “tryptophan”.3
A decade passed before anyone managed to successfully isolate “the much sought tryptophane”.4 In 1901 Hopkins and Cole published their report, “A preliminary study of a hitherto undescribed product of tryptic digestion”. Therein, they describe the complicated processes required to separate the pure compound, and how the cautious addition of bromine water, with excess being avoided, produced a fine red-rose colour. They decide that:
“the new compound, which is the mother substance of the most characteristic coloured product, should continue to receive Neumeister’s designation of tryptophane. Continuity of nomenclature will thus be secured.”
The Name
Fast-forwarding a bit to the present day; the explanation given on the internet and in etymological dictionaries for the name of tryptophan has the ‘tryp’ coming from trypsin, and the ‘phane’ coming from the Greek word ‘phainesthai’ or ‘phaino’, meaning to appear, or to bring to light. On the surface this makes complete sense: in digestions of proteins with trypsin, a colour can be made to appear. Trypsin is used in both the publication in which tryptophan is discovered, and in the one in which is it named, so this sounds perfectly plausible and could very easily have been the end of this story. However, a footnote in a 1931 review of the discovery of the amino acids provides an alternate theory that throws some doubt onto this accepted belief, and leads one to re-examine the wording of Neumeister’s original naming.1
If Google translate is to be believed (I welcome German speakers to check the original for me, which I’ve included at the end of this article5), the wording in the original publication is “The chromogen in question can be detected in all processes that cause the deep decomposition of the albuminous bodies, and may therefore be called tryptophan”. Annoyingly, Neumeister doesn’t go into any more detail than this. However, while he does use trypsin as a mediator for the decomposition described, the wording of this sentence suggests that the chosen name encompasses all processes that could do this, not just trypsin. Indeed, the list that follows this sentence starts with ‘digestion of the pancreas’ rather than naming trypsin, and the enzyme isn’t named again until the third page of the ridiculously long footnote.
The explanation provided in the 1931 review, however, makes more sense in this context. The authors suggest that while the latter half of the word does indeed come from “phano”, meaning to bring to light, the first half comes from the Ancient Greek word “thryptomai”, meaning to be broken, or to grow weak. This fits much better, as it doesn’t imply a specific method of breakage. It also accounts for the ‘-to-‘ bit in the middle of the word, which is casually ignored in the trypsin explanation.
It did occur to me that trypsin could also be derived from ‘thryptomai’; being an enzyme capable to breaking things down it would make some sense for the name to come from a word meaning to be broken. However, the commonly agreed upon etymology traces trypsin to the Greek word ‘tripsis’, meaning rubbing. As is becoming a recurring theme, the earliest use of the word trypsin in the literature doesn’t come with an explanation of the rationale behind it. The 1876 paper by the German physiologist Wilhelm Kühne simply states that this is the name he is giving to it.6 His method of preparation involved rubbing fresh pancreas with glass powder and absolute alcohol, before doing a water extraction. It is this method that must have led someone to suggest ‘tripsis’ as being the root of the name, but over a century later it’s very difficult to confirm that. Incidentally, the paper is also the first documented use of the word enzyme!
Understanding the Tryptophane Reaction
If you’re not massively interested in mechanistic detail of chemical reactions, then you can probably stop reading here.
When the tryptophane reaction was discovered, our level of understanding of protein structure and the mechanisms of chemical reactions was limited. For a time the reaction seems to have been used as a means of characterising proteins: i.e. ‘does a particular protein preparation give rise to the tryptophane reaction, yes or no?’ The techniques available at the time weren’t up to the job of isolating or identifying the product that caused the colour. Before more effort was put into the matter, protein science moved on, and the tryptophane reaction was forgotten…
…until scientists started to investigate the health effects of water chlorination, and the use of chlorine in the food industry. A study from 1980 mixed different ratios of tryptophan and hydrochlorous acid (HOCl, the product of chlorine dissolved in water), and the authors described the formation of coloured precipitates.7 This was reported as new science, without any apparent appreciation that the phenomenon they were observing is enshrined in the name of the substance they are working with!
Kirk and Mitchell made some attempts to figure out what is going on in this reaction. Firstly, they subjected analogues of tryptophan to the same HOCl conditions to determine which parts of the molecule are important, and determined that both the indole ring and the amine are probably involved (Figure 2).

Figure 2. Subjecting tryptophan and analogues to HOCl.7
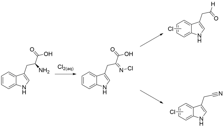
However, further attempts to follow the course of the reaction with radiolabelled starting materials, and to identify the products, can be summed up with two simple words: it’s complicated. This is not a clean reaction. Multiple products are formed, with varying levels of chlorination, and the products present can depend on the relative concentration of HOCl, as well as how long the reaction has been left. The observed colour may not necessarily be from one product, which would explain the wide variation in hue described in the literature. The best explanation we have to date for the mixture of products formed comes from Trehy et al. in 1986, who describes the formation of aldehydes and nitriles from tyrosine and tryptophan, with varying degrees of chlorine incorporation on the aromatic ring (Figure 3).8,9

Figure 3. Reactions of tryptophans with aqueous chlorine. Adapted from Trehy et al.8,9
The one thing that we can now explain, that scientists around the turn of the century didn’t manage to, is the requirement for proteins to be degraded before the tryptophane reaction can take effect. Tryptophan, with its big, greasy, heterocyclic side chain is hydrophobic, so tends to be buried within a protein’s 3D structure, away from any water. This means that in the native state, the reactive species of the chlorine water aren’t able to reach the tryptophan residues to have their effect. However, if the protein is unfolded by the action of chemical denaturing agents, or chopped into pieces by enzymatic digestion, the tryptophans will become exposed, allowing their eponymous reaction to occur.
References
- Vickery, H. B. & Schmidt, C. L. A. The History of the Discovery of the Amino Acids. Chem. Rev. 9, 169–318 (1931).
- Neumeister, R. Ueber die Reactionen der Albumosen und Peptone. Z. Biol. 26, 324–347 (1890).
- Google Books Ngram Viewer: Tryptophan and Tryptophane.
https://books.google.com/ngrams/interactive_chart?content=tryptophane%2Ctryptophan&year_start=1800&year_end=2000&corpus=15&smoothing=3&share=&direct_url=t1%3B%2Ctryptophane%3B%2Cc0%3B.t1%3B%2Ctryptophan%3B%2Cc0 - Hopkins, F. G. & Cole, S. W. A Contribution to the Chemistry of Proteids: Part I. A Preliminary Study of a Hitherto Undescribed Product of Tryptic Digestion. J. Physiol. 27, 418–428 (1901).
- The original German wording: Das fragliche Chromogen lässt sich bei allen Processen, welche den tiefen Zerfall der Eiweisskörper herbeiführen, nachweisen und kann daher wohl als ‘Tryptophan’ bezeichnet werden. Man beobachtet sein Auftreten ausser bei der Pankreasverdauung auch bei andauernder Fäulniss, beim Erhitzen der Eiweisskörper mit Barytlauge und beim Kochen derselben mit 5% Schwefelsäure.
- Kuhne, W. Ueber das Verhalten verschiedener organisirter und sog. ungeformter Fermente. Naturhistorisch-Medicinischen Vereins 190 (1876).
- Kirk, J. R. & Mitchell, S. K. Risks and benefits associated with chlorine in the food industry. in Water Chlorination. Environmental Impact and Health Effects. Vol. 3 283–303 (Ann Arbor Science Publishers Inc., 1980).
- Trehy, M. L., Yost, R. A. & Miles, C. J. Chlorination Byproducts of Amino Acids in Natural Waters. Environ. Sci. Technol. 20, 1117–1122 (1986).
- Owusa-Yaw, J. D. Reactions of aqueous chlorine and chlorine dioxide with L- tryptophan: Genotoxicity studies and identification of some genotoxic reaction products. (University of Florida, 1989).
Great article, thank you.
LikeLike